Информация о достижении

Влияние агротехнического воздействия и постагрогенной трансформации на плодородие почв Приморского края и поиск эффективных методов детоксикации загрязненных почв

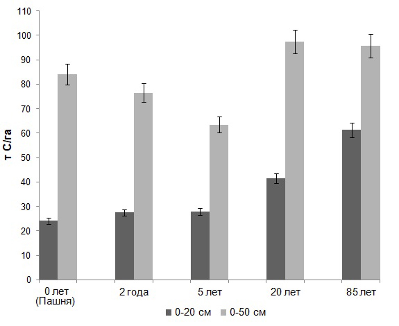
Изучена роль антропогенного воздействия на изменение основных свойств почв Приморского края. Определено, что наибольшее влияние на повышение активности каталазы агрогенных почв оказывает длительное поступление легкоразлагаемых растительных остатков. Установлено участие ортштейнов в повышении каталазной активности почв региона. Результаты позволили разработать новый подход в оценке активности каталазы. Доказано, что для почв, выведенных из сельскохозяйственного оборота, оптимальным интервалом для стабилизации структуры, запасов С и уровня рН является 20-летний период. На основе оценки жизнеспособности почвенной микрофлоры доказана эффективность метода сорбционного извлечения Sb3+ из почвенной суспензии с использованием биогенного алюмосиликата натрия. Максимальная эффективность сорбента выявлена на почвах с более высоким содержанием гумуса и более низкими значениями рН.
Публикации

2022 - Impact of Antimony Fluoride Compounds on Soil Microflora and Methods of Their Detoxification

Kiseleva I.V., Kholomeidik A.N., Shchapova L.N., Panasenko A.E.

Microbiology    Год: 2022 Том: 91 Номер: 6 Страницы: 796-800

DOI: 10.1134/S0026261722601427

2022 - Динамика реакции почвенной среды, структурно-агрегатного состояния и запасов углерода агротемногумусовых подбелов в ходе постагрогенного развития

Бурдуковский М.Л., Тимофеева Я.О., Голов В.И., Киселева И.В., Тимошинов Р.В.

Почвоведение    Год: 2022 Номер: 12 Страницы: 1505-1513

DOI: 10.31857/S0032180X22600664

2022 - Study of Some Properties and Catalase Activity in Albic Stagnosols under Different Agrogenic Impacts

Purtova L.N., Timofeeva Ya.O.

Eurasian Soil Science    Год: 2022 Том: 55 Номер: 10 Страницы: 1436-1445

DOI: 10.1134/S1064229322100131